54.5万打水漂!我市女子从第1笔提现开始“沦陷”
2026-04-22 06:03:20
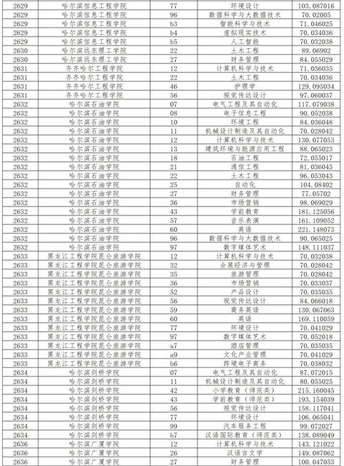
2024年全国各省统招专升本录取分数线汇总!已有9省公布!
2024年的全国统招专升本录取分数线已经陆续公布,各省份的分数线变化成为了广大考生关注的焦点。在这场关乎未来命运的角逐中,每个分数都承载着无数人的梦想和期望。

首先,让我们聚焦于北京、上海、广东这三个经济发达地区。北京的分数线一如既往地保持高水平,尤其是那些热门专业,如计算机科学与技术、金融学等,竞争尤为激烈。上海的情况也类似,作为国际大都市,其高校的吸引力不言而喻。而广东省,作为改革开放的前沿阵地,其分数线同样呈现出逐年上升的趋势,尤其是那些与经济发展密切相关的专业,如国际贸易、市场营销等。

接下来,我们将目光转向中西部地区。湖北省作为教育大省,其高校的录取分数线一直备受关注。2024年,湖北省的分数线整体保持稳定,但部分专业的竞争仍然激烈。而湖南省,这个有着悠久历史和深厚文化底蕴的省份,其分数线同样呈现出逐年上升的趋势,尤其是那些与文化产业相关的专业,如新闻传播、艺术设计等。

在西南地区,四川省的分数线变化也引起了广泛关注。作为一个人口大省,四川省的高校录取竞争一直十分激烈。2024年,四川省的分数线整体保持稳定,但部分热门专业的录取难度仍然较大。而云南省,这个被誉为“彩云之南”的美丽省份,其分数线同样呈现出逐年上升的趋势,尤其是那些与旅游、文化产业相关的专业。

在专升本的路上,每个考生都是自己的英雄。正如一句名言所说:“成功不是将来才有的,而是从决定去做的那一刻起,持续累积而成的。”这句话道出了成功的真谛,那就是坚持和积累。专升本的过程无疑是艰辛的,但只要坚持下去,就一定能够收获属于自己的成功。

在文章的最后,我想引用一位网友的话来作为结尾:“专升本的道路上,我们都是追逐梦想的勇士。无论前方的路有多么艰难,我们都要坚持下去,因为我们相信,只要心中有梦想,就一定能够实现。”这句话道出了广大专升本考生的共同心声,那就是对梦想的坚持和追求。

在这个充满机遇和挑战的时代,专升本已经成为了许多人实现梦想的重要途径。无论你是正在准备专升本的考生,还是已经经历过这场战斗的过来人,都希望这篇文章能够给你带来一些启示和帮助。记住,只要坚持不懈,就一定能够实现自己的梦想。

欢迎留言评论告诉我你的想法 ~

2026-04-22 06:03:20
2026-04-22 06:01:06
2026-04-22 05:58:51
2026-04-22 05:56:37
2026-04-22 05:54:23
2026-04-22 05:52:08
2026-04-22 05:49:54
2026-04-22 03:23:12
2026-04-22 03:20:57
2026-04-22 03:18:43
2026-04-22 03:16:29
2026-04-22 03:14:14
2026-04-22 03:12:00
2026-04-22 03:09:45
2026-04-22 03:07:31
2026-04-22 03:05:17
2026-04-22 03:03:02
2026-04-22 00:36:21
2026-04-22 00:34:07
2026-04-22 00:31:53