趣味记单词之Calligraphy!
2025-12-25 22:02:09
两个重要极限
两个重要极限是数学分析中的基本概念,它们是理解极限概念和进行相关计算的关键工具。
第一个重要极限公式是

。这个公式表明,当x趋近于0时,sin x函数与x的比值趋近于1。这个结论在几何上可以通过单位圆和夹逼定理来直观理解。事实上,如果我们将单位圆画出,会发现当x非常接近0时,sin x的值会在x的附近,因此比值 sinx/x
会非常接近1。利用夹逼定理,可以正式证明这个极限为1的结论。
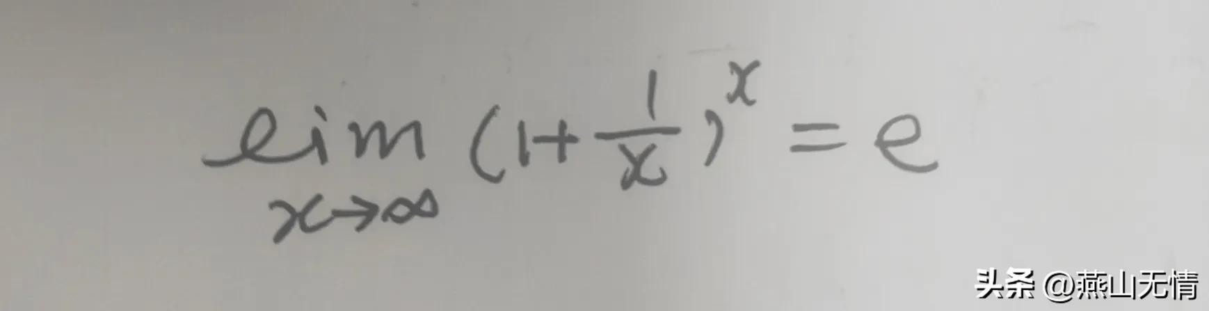
第二个重要极限公式是

这个公式表明,当x趋近于无穷大时,表达式(1+1/x)^x的值趋近于自然对数的底数e。该极限可以通过单调有界原理证明其存在,并利用泰勒展开等方法求解其具体值。
综上所述,两个重要极限不仅在理论上具有重要价值,而且在实际应用中也扮演着关键角色。通过对这些极限公式的学习和理解,可以更好地掌握极限的概念,提高解决数学问题的能力。
2025-12-25 22:02:09
2025-12-25 21:59:55
2025-12-25 21:57:40
2025-12-25 21:55:26
2025-12-25 21:53:12
2025-12-25 19:49:40
2025-12-25 19:47:26
2025-12-25 19:45:11
2025-12-25 19:42:57
2025-12-25 19:40:43
2025-12-25 19:38:28
2025-12-25 19:36:14
2025-12-25 19:33:59
2025-12-25 19:31:45
2025-12-25 19:29:31
2025-12-25 17:25:51
2025-12-25 15:22:19
2025-12-25 15:20:04
2025-12-25 15:17:50
2025-12-25 15:15:36